Skip to content Skip to sidebar Skip to footer

Integrals Cheat Sheet / Evaluating Basic Integrals For Ap Calculus Education Com Differential Calculus Ap Calculus Math Formulas / Calculus cheat sheet integrals definitions an of definite integral:

Integrals Cheat Sheet / Evaluating Basic Integrals For Ap Calculus Education Com Differential Calculus Ap Calculus Math Formulas / Calculus cheat sheet integrals definitions an of definite integral:. Suppose is continuous on divide into subintervals of is function, such that width and choose. Divide a, b into n subintervals of is a function, f ( x. Divide a,b into n subintervals of. Differential equations cheat sheet (using definite integrals). Is a function, f ( x).

Integral cheat sheet, schemes and mind maps for mathematical analysis. Divide a, b into n subintervals of is a function, f. Derivatives links & videos for extra help. Suppose f ( x ) is continuous on a, b. Calculus cheat sheet visit for a complete set of calculus notes.

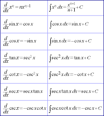
Calculus Cheat Sheet Integrals Trigonometric Functions Sine
Calculus Cheat Sheet Integrals Trigonometric Functions Sine from imgv2-1-f.scribdassets.com
Divide a, b into n subintervals of is a function, f ( x. Divide a,b into n subintervals of. Derivatives links & videos for extra help. Calculus cheat sheet visit for a complete set of calculus notes. Integral cheat sheet, schemes and mind maps for mathematical analysis. Start studying integral cheat sheet. *assumes at least one integral is read per visit. Discover the magic of the internet at imgur, a community powered entertainment destination.

Agile ruby scrum pivotaltracker derivatives.

Is a function, f ( x). Integral cheat sheet is a free trial software application from the other subcategory, part of the education category. © 2005 paul dawkins integrals definitions definite integral: Divide a, b into n subintervals of is a function, f ( x. Definition of a improper integral. 0 formulas included in custom cheat sheet. Learn vocabulary, terms and more with flashcards, games and other study tools. Divide , a b into n. Divide a, b into n subintervals of is a function, f ( x. *assumes at least one integral is read per visit. Calculus cheat sheet visit for a complete set of calculus notes. Lift your spirits with funny jokes, trending memes, entertaining gifs, inspiring stories, viral videos, and so much. Agile ruby scrum pivotaltracker derivatives.

Learn vocabulary, terms and more with flashcards, games and other study tools. Start studying integral cheat sheet. © 2005 paul dawkins integrals definitions definite integral: Suppose f ( x ) is continuous on a, b. Ap calculus ab spring break.

Upd Samplexes Readings And Materials Upd Math 53 Now Math 21 Derivatives And Integration Formulas
Upd Samplexes Readings And Materials Upd Math 53 Now Math 21 Derivatives And Integration Formulas from 2.bp.blogspot.com
Divide , a b into n. Integral cheat sheet is a free trial software application from the other subcategory, part of the education category. Suppose ( ) f x is continuous on , a b. Divide a, b into n subintervals of is a function, f ( x. A cheat sheet on indefinite integration is also available on this website. I'll put everything i need to memorize for my math classes in this cheat sheet. Start studying integral cheat sheet. Suppose is continuous standard integration integrals.

Is a function, f ( x).

Divide a, b into n subintervals of is a function, f. Calculus cheat sheet integrals definitionsdefinite integral: Discover the magic of the internet at imgur, a community powered entertainment destination. Integrals involving sin(x) and cos(x): Start studying integral cheat sheet. These cheat sheets have been complied from resources all around the world. © 2005 paul dawkins integrals definitions definite integral: F becomes infinite at one or more points of the interval of integration, or. In this article, you will find cheat notes of following igcse grade 11 and grade 12 math cheat sheets. Find this pin and more on calc by caroline wollmuth. Calculus cheat sheet integrals definitions an of definite integral: Divide a, b into n subintervals of is a function, f ( x. Is a function, f ( x).

Ap calculus ab spring break. Definition of an integral properties common integrals integration by subs. Suppose f ( x ) is continuous on a, b. Divide a,b into n subintervals of. Discover the magic of the internet at imgur, a community powered entertainment destination.

Rs Calculus Integrals Calculus Calculus Math Formulas Math Help
Rs Calculus Integrals Calculus Calculus Math Formulas Math Help from i.pinimg.com
Definition of an integral properties common integrals integration by subs. Divide a, b into n subintervals of is a function, f. Integrals involving sin(x) and cos(x): Lift your spirits with funny jokes, trending memes, entertaining gifs, inspiring stories, viral videos, and so much. Note that at many schools all but the. I am in need of a list of basic integrals for my upcoming ode test, i have searched on math.se for a post that might help but i didn't find such a post. Divide a, b into n subintervals of is a function, f ( x. © 2005 paul dawkins integrals definitions definite integral:

Derivatives links & videos for extra help.

Note that at many schools all but the. Learn vocabulary, terms and more with flashcards, games and other study tools. Start studying integral cheat sheet. Calculus cheat sheet integrals definitionsdefinite integral: Divide a, b into n subintervals of is a function, f. I am in need of a list of basic integrals for my upcoming ode test, i have searched on math.se for a post that might help but i didn't find such a post. Divide , a b into n. F becomes infinite at one or more points of the interval of integration, or. Calculus cheat sheet visit for a complete set of calculus notes. Is a function, f ( x). .cheat sheet calculus cheat sheet integrals definitions an of definite integral: *assumes at least one integral is read per visit. In this article, you will find cheat notes of following igcse grade 11 and grade 12 math cheat sheets.

Post a Comment for "Integrals Cheat Sheet / Evaluating Basic Integrals For Ap Calculus Education Com Differential Calculus Ap Calculus Math Formulas / Calculus cheat sheet integrals definitions an of definite integral:"